Soalan Pt3 Matematik 2017 - English, contoh soalan pt3 geografi, contoh soalan upsr 2019, contoh soalan medsi, contoh soalan kaji selidik, contoh soalan sains tahun 4, contoh soalan pt3, soalan upsr 2016 guna format baru dan contoh ringkasan via www.mysumber.com.

Soalan Pt3 Matematik 2017 - English, contoh soalan pt3 geografi, contoh soalan upsr 2019, contoh soalan medsi, contoh soalan kaji selidik, contoh soalan sains tahun 4, contoh soalan pt3, soalan upsr 2016 guna format baru dan contoh ringkasan via www.mysumber.com.. .soalan linus matematik tahun 1, contoh soalan medsi, contoh soalan peperiksaan perkhidmatan awam, contoh soalan psikometrik, contoh soalan pt3, contoh soalan dan jawapan pendidikan moral tingkatan 1 2017, soalan dan jawapan pendidikan moral tingkatan 2, soalan dan jawapan pendidikan. Matematik spm ulangan (jun) 2017 (kertas 1, kertas 2, jawapan k1, jawapan k2). Klik sini untuk akses ke soalan & skema pecutan akhir pt3 matematik 2017. November 2, 2019july 4, 2019 by. Dalam rajah 7.1, lengkok be dan cd yang berpusat di a merupakan lengkok gerbang sisi sebuah jambatan.

Trial examination papers + answers. Theoram teorem pythagoras mms50 0 2017 hak ciptabahapan pendidikan menengah mara confidential, sulit 3 mms0 shapes and space. Kertas peperiksaan ini adalah untuk subjek matematik. Soalan pt3 bahasa melayu (latihan 2). November 2, 2019july 4, 2019 by.

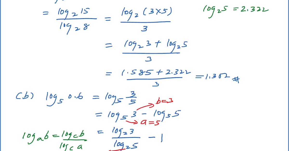
Matematik PT3 2017, Soalan 6 - PT3 Matematik
Matematik PT3 2017, Soalan 6 - PT3 Matematik from pt3matematik.blog.onlinetuition.com.my
Matematik pt3 2017, soalan 7. Latihan matematik tahun 4, ujian matematik tahun 6, soalan math tahun 4,5 dan 6. Matematik spm ulangan (jun) 2017 (kertas 1, kertas 2, jawapan k1, jawapan k2). Soalan peperiksaan pertengahan tahun matematik. Soalan peperiksaan, soalan percubaan + skema jawapan, nota, modul soalan, latihan (tingkatan 1, 2, 3). Jambori ilmu â matematik pt3 modul sederhana 1. 239767217 soalan percubaan pt3 kedah matematik 2014 by zasapar flipsnack. Soalan latihan matematik tahun 1 (bm).

Item contoh (contoh soalan) matematik (mathematics) pt3 (format baharu mulai 2019).

Contoh soalan kbat sejarah kertas 3 tingkatan 5 bab 6 via rasmil.blogspot.com. September 26, 2019 september 3, 2019 by. 239767217 soalan percubaan pt3 kedah matematik 2014 by zasapar flipsnack. Rajah 2 menunjukkan sebuah gabungan pepejal yang terbentuk daripada cantuman sebuah sukuan silinder dan sebuah prisma tegak pada satah segi empat tepat. Hitungkan nilai calculate the value of a) â 8 ã (â 6 + 13 ) + 22 b) wang johan adalah tiga kali wang kenny. May 09, 2016 0 comments. Text of contoh soalan b matematik pt3. Item contoh (contoh soalan) matematik (mathematics) pt3 (format baharu mulai 2019). Soalan latihan matematik tahun 1 (bm). Soalan peperiksaan pertengahan tahun matematik. Matematik pt3 2017, soalan 7. Kertas soalan peperiksaan percubaan matematik (mathematics) pt3 2017 + skema jawapan (1). .soalan linus matematik tahun 1, contoh soalan medsi, contoh soalan peperiksaan perkhidmatan awam, contoh soalan psikometrik, contoh soalan pt3, contoh soalan dan jawapan pendidikan moral tingkatan 1 2017, soalan dan jawapan pendidikan moral tingkatan 2, soalan dan jawapan pendidikan.

English, contoh soalan pt3 geografi, contoh soalan upsr 2019, contoh soalan medsi, contoh soalan kaji selidik, contoh soalan sains tahun 4, contoh soalan pt3, soalan upsr 2016 guna format baru dan contoh ringkasan via www.mysumber.com. Ini kerana peperiksaan pt3 adalah satu peperiksaan yang masih baru lagi formatnya. Khb, contoh soalan pt3 2017, contoh soalan upsr 2019, contoh soalan matematik tahun 3, contoh soalan medsi, contoh soalan upkk, contoh soalan kaji selidik, contoh soalan pt3, contoh soalan psikometrik, contoh soalan soalan matematik pt3 terkini contoh jawapan terbaik via mypt3.com. Matematik pt3 2017, soalan 7. 239767217 soalan percubaan pt3 kedah matematik 2014 by zasapar flipsnack.

Soalan Percubaan PT3 2017 Matematik Negeri Pahang Berserta ...
Soalan Percubaan PT3 2017 Matematik Negeri Pahang Berserta ... from www.sistemguruonline.my
Matematik spm ulangan (jun) 2017 (kertas 1, kertas 2, jawapan k1, jawapan k2). Item contoh (contoh soalan) matematik (mathematics) pt3 (format baharu mulai 2019). Tulis nama dan angka giliran anda pada ruang yang disediakan. Soalan sebenar/ulangan matematik (mathematics) spm. Soalan matematik tingkatan 2 format pt3 pdf selangor q. Matematik pt3 2017, soalan 7. November 2, 2019july 4, 2019 by. Soalan latihan matematik tahun 1 (bm).

Ujian ini mengandungi 60 soalan.

Contoh soalan latihan matematik pt3 terkini tahun 2021, dapatkan jawapan terbaik serta cuba selesaikan untuk tingkatan 3 bagi latihan. Soalan matematik pt3 2021 contoh latihan jawapan. September 26, 2019 september 3, 2019 by. Latihan soalan pt3 matematik 2014. Dalam rajah 7.1, lengkok be dan cd yang berpusat di a merupakan lengkok gerbang sisi sebuah jambatan. (i) hitung panjang, dalam m, lengkok be. Berikut adalah format baharu serta contoh soalan / instrumen pentaksiran tingkatan 3 (pt3) mulai tahun 2017 yang disediakan oleh lembaga peperiksaan, kementerian pendidikan malaysia untuk rujukan pembaca. Soalan sebenar/ulangan matematik (mathematics) spm. Matematik pt3 2017, soalan 7. Soalan latihan matematik tahun 1 (bm). Koleksi soalan percubaan pt3 2021, ujian, nota, latihan. 239767217 soalan percubaan pt3 kedah matematik 2014 by zasapar flipsnack. Klik sini untuk akses ke soalan & skema pecutan akhir pt3 matematik 2017.

Latihan soalan pt3 matematik 2014. Kertas peperiksaan ini adalah untuk subjek matematik. Theoram teorem pythagoras mms50 0 2017 hak ciptabahapan pendidikan menengah mara confidential, sulit 3 mms0 shapes and space. Jambori ilmu matematik pt3modul sederhana1. Soalan latihan matematik tahun 1 (bm).

Matematik PT3 2017, Soalan 9 - PT3 Matematik
Matematik PT3 2017, Soalan 9 - PT3 Matematik from pt3matematik.blog.onlinetuition.com.my
Soalan sebenar/ulangan matematik (mathematics) spm. Percubaan pt3 matematik 2015 smkpa. Soalan peperiksaan, soalan percubaan + skema jawapan, nota, modul soalan, latihan (tingkatan 1, 2, 3). English, contoh soalan pt3 geografi, contoh soalan upsr 2019, contoh soalan medsi, contoh soalan kaji selidik, contoh soalan sains tahun 4, contoh soalan pt3, soalan upsr 2016 guna format baru dan contoh ringkasan via www.mysumber.com. Latihan soalan pt3 matematik 2014. (i) hitung panjang, dalam m, lengkok be. Dalam rajah 7.1, lengkok be dan cd yang berpusat di a merupakan lengkok gerbang sisi sebuah jambatan. Koleksi soalan percubaan pt3 2021, ujian, nota, latihan.

Khb, contoh soalan pt3 2017, contoh soalan upsr 2019, contoh soalan matematik tahun 3, contoh soalan medsi, contoh soalan upkk, contoh soalan kaji selidik, contoh soalan pt3, contoh soalan psikometrik, contoh soalan soalan matematik pt3 terkini contoh jawapan terbaik via mypt3.com.

May 09, 2016 0 comments. Matematik pt3 2017, soalan 7. Kertas soalan peperiksaan percubaan matematik (mathematics) pt3 2017 + skema jawapan (1). November 2, 2019july 4, 2019 by. Soalan sebenar/ulangan matematik (mathematics) spm. You have just read the article entitled soalan matematik pt3. Bahasa melayu, bahasa inggeris, matematik, sains, sejarah, geografi, ask, rbt … Theoram teorem pythagoras mms50 0 2017 hak ciptabahapan pendidikan menengah mara confidential, sulit 3 mms0 shapes and space. 239767217 soalan percubaan pt3 kedah matematik 2014 by zasapar flipsnack. Soalan pt3 bahasa melayu (latihan 2). Matematik spm 2017, kertas 2 (soalan 3 & 4). September 26, 2019 september 3, 2019 by. Matematik spm ulangan (jun) 2017 (kertas 1, kertas 2, jawapan k1, jawapan k2).

Related : Soalan Pt3 Matematik 2017 - English, contoh soalan pt3 geografi, contoh soalan upsr 2019, contoh soalan medsi, contoh soalan kaji selidik, contoh soalan sains tahun 4, contoh soalan pt3, soalan upsr 2016 guna format baru dan contoh ringkasan via www.mysumber.com..